новости бизнеса
компании и предприятия
нефтехимические компании
продукция / логистика
торговый центр
ChemIndex
новости науки
работа для химиков
химические выставки
лабораторное оборудование
химические реактивы
расширенный поиск
каталог ресурсов
электронный справочник
авторефераты
форум химиков
подписка / опросы
проекты / о нас


контакты
поиск
   

главная > справочник > химическая энциклопедия:

ПИКОЛИНЫ


выберите первую букву в названии статьи: А Б В Г Д Е Ж З И К Л М Н О П Р С Т У Ф Х Ц Ч Ш Щ Э Ю Я

ПИКОЛИНЫ (монометилпиридины). мол. м. 93,13. Известны 2-метил- (a-пиколины), 3-метил- (b-пиколины) и 4-метилпиридины (g-пиколины). Все они-бесцв. жидкости (см. табл.) с пиридино-подобным запахом; хорошо раств. в воде и орг. растворителях. С водой образуют азеотроп-ные смеси, содержащие, например, 52% по массе a-пиколины (т. кипиколины 93,50C), 39% по массе b-пиколины (т. кипиколины 96,20C).


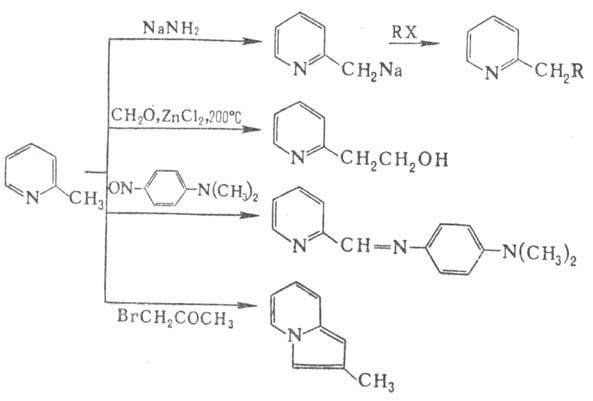
пиколины по хим. свойствам подобны пиридину. с сильными кислотами и алкилгалогенидами образуют соли, надуксусной кислотой легко окисляются в N-оксиды, восстанавливаются водородом (кат. - Pt) или Na в спиртах в производные пиперидина. Под действием KMnO4, HNO3 и O2 воздуха в присутствии V2O5 a-, b- и g-пиколины окисляются соотв. до пиколиновой, никотиновой и изоникотиновой кислот; окислит. аммонолиз пиколины приводит к нитрилам этих кислот, окисление в присутствии SeO2 - к соответствующим альдегидам. В отличие от b-пиколины a- и g-пиколины могут подвергаться дейтерообмену по атомам водорода группы CH3, при действии NaNH2 и C6H5Li образовывать ме-таллоорг. производные, взаимод. которых с алкилгалогенидами приводит к гомологам пиридина, конденсироваться с альдегидам., кетонами. нитрозопроизводными и др. соед., например:


Еще легче в аналогичные реакции вступают N-оксиды и четвертичные соли a- и g-пиколины; в последнем случае при подщела-чивании образуются алкилидсндигидропиридины (ангидро-основания):


В промышленности пиколины выделяют из кам.-уг. смолы или горючих сланцев в смеси с др. пиридиновыми основаниями с послед. ректификацией смеси; a- пиколины отделяется при перегонке. b-и g-пиколины входят вместе с 2,6-лутидином в состав b-пиколино-вой фракции, из которой b-пиколины выделяют в виде комплекса с CuCl, g-пиколины-в виде коплекса с NiCl2 (с послед. доочисткой основания в виде комплекса с CaCl2). Синтезируют пиколины конденсацией NH3 с CH3CHO (р-ция Чичибабина), а также термич. разложением солей N-алкилпиридиния (р-ция JIa-денбурга). a-пиколины с хорошим выходом образуется также при взаимод. пиридина с диазометаном, b-пиколины-при взаимод. NH3 с акролеином.

a-пиколины применяют для получения a-винилпиридина и пестицидов, b-пиколины-для получения никотиновой кислоты, g-пиколины-в произ-ве изоникотиновой кислоты и лек. препаратов на ее основе (см. Изоникотиновая кислота).

СВОЙСТВА ПИКОЛИНОВ

Показатель

Соединение

a-пиколины

b-пиколины

g-пиколины

T. пл., 0C

-66,8

-18,0

3,6

T. кипиколины, 0C

128,8

144,00

145,4


0,9443

0,9566

0,9548


1,5010

1,5068

1,5051

pKa (вода, 20 0C)

5,96

5,66

6,05

T. пл. пикрата, 0C

169-171

149-150

168

пиколины токсичны: ПДК в воздухе 5 мг/м3; для a-пиколины ЛД50 674 (мыши, перорально), 790 (крысы), 900 мг/кг (свинки).

Лит.: Яхонтов Л. H., КарпманЯ.С, "Химия гетероциклических соединений", 1981, № 4, с. 435-47; Общая органическая химия, пер. с англ., т. 8, M., 1985, с. 15- 104. Л. H. Яхонтов.




выберите первую букву в названии статьи: А Б В Г Д Е Ж З И К Л М Н О П Р С Т У Ф Х Ц Ч Ш Щ Э Ю Я


Все новости



Новости компаний

Все новости


© ChemPort.Ru, MMII-MMXXIV
Контактная информация