новости бизнеса
компании и предприятия
нефтехимические компании
продукция / логистика
торговый центр
ChemIndex
новости науки
работа для химиков
химические выставки
лабораторное оборудование
химические реактивы
расширенный поиск
каталог ресурсов
электронный справочник
авторефераты
форум химиков
подписка / опросы
проекты / о нас


контакты
поиск
   

главная > справочник > химическая энциклопедия:

ПИКТЕ ШПЕНГЛЕРА РЕАКЦИЯ


выберите первую букву в названии статьи: А Б В Г Д Е Ж З И К Л М Н О П Р С Т У Ф Х Ц Ч Ш Щ Э Ю Я

ПИКТЕ ШПЕНГЛЕРА РЕАКЦИЯ, синтез 1,2,3,4-тетра-гидроизохинолинов конденсацией 2-арил(гетерил)этилами-нов с альдегидами. например:


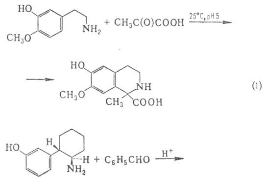
Р-цию обычно осуществляют в водных растворах при 100 0C, нагревая компоненты с избытком соляной кислоты (реже используют серную, уксусную или муравьиную кислоту). В реакции, как правило, используют формальдегид. ацетальдегид. замещенные бензальдегиды или 2-фенилацетальдегид (в некоторых случаях, когда исходный альдегид неустойчив, вместо него применяют соответствующий ацеталь или эфир енола). В качестве аминной компоненты используют 2-гетерил- или 2-фенилэтиламины, незамещенные либо содержащие в цикле алкокси- или гидроксигруппы. Наличие алкоксигруппы облегчает циклизацию. которая направляется в пара-положение к активирующей группе. Фенольный гидроксил еще сильнее активирует бензольное кольцо, что позволяет проводить реакцию при 25-40 0C и рН 4-8 не только с альдегидами. но и с кетонами в т. ч. с a-оксокислотами (р-ция 1); при этом в ряде случаев циклизация осуществляется в пара-и. орто-положение к гидроксигруппе (2):



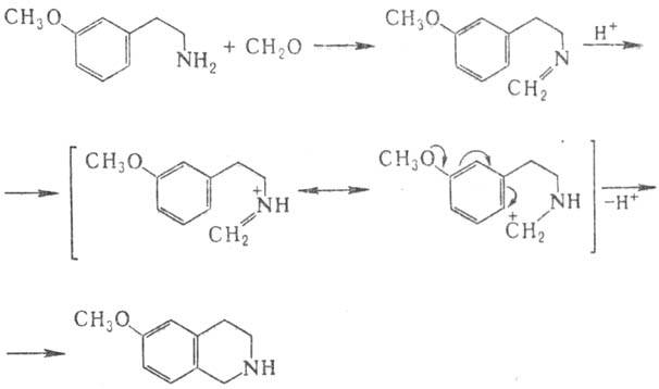
П.-Ш.р., по существу, является внутримол. реакцией Ман-ниха и протекает по механизму электроф. замещения в ароматич. кольце. Образующееся из фенилэтиламина и карбонильной компоненты основание Шиффа, которое иногда можно выделить, циклизуется после протонирования в тстра-гидроизохинолин, причем электронодонорные заместители облегчают реакцию:


Модификация П.-Ш.р.-циклизация N-сульфонилфенил-этиламинов в тетрагидроизохинолины в присутствии кислых катализаторов.



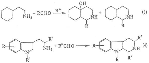
В условиях П.-Ш.р. из 1-(2-аминоэтил)циклогексена образуется дека- и октагидроизохинолины (3), из триптамина или триптофана и их производных-разл. тетрагидрокарбо-лины (4), многие из которых образуются в мягких условиях с высоким выходом:


Сходные по механизму реакции осуществляются с участием N-ацилиминиевых ионов (ф-ла I), которые генерируются из разл. предшественников. По сравнению с иминиевыми интермедиа-тами, образующимися в П.-Ш.р., ацилиминиевые ионы более электрофильны, что позволяет проводить реакции с их участием в более мягких условиях. С помощью такого метода, родственного П.-Ш.р., синтезированы конденсир. гетероциклы (в т.ч. некоторые лек. ср-ва и алкалоиды), включающие фрагмент тетрагидроизохинолина, например:



П.-Ш. р. и родственные превращ. используют в синтезе изохинолиновых алкалоидов и др. разнообразных азотсодержащих гетероциклич. соединений. Р-ция открыта в 1911 А. Пикте и T. Шпенглером.

Лит.: Общая органическая химия, пер. с англ., т. 8, M., 1985, с. 260.-61; К a m е t а n i Т., F u k и m о t о К., в кн.: The chemistry of heterocyclic compounds, v. 38, N. Y., 1981, p. 139 274; Jones G., в кн.: Comprehensive heterocyclic chemistry, v. 2. (Isoquinolines, pt. 1). Oxf., 1984, p. 438; Speckamp W. N., Hiemstra H., "Tetrahedron", 1985, v. 41, № 20, p. 4367 -4416. Ю. С. Цизин.




выберите первую букву в названии статьи: А Б В Г Д Е Ж З И К Л М Н О П Р С Т У Ф Х Ц Ч Ш Щ Э Ю Я


Все новости



Новости компаний

Все новости


© ChemPort.Ru, MMII-MMXXIV
Контактная информация