новости бизнеса
компании и предприятия
нефтехимические компании
продукция / логистика
торговый центр
ChemIndex
новости науки
работа для химиков
химические выставки
лабораторное оборудование
химические реактивы
расширенный поиск
каталог ресурсов
электронный справочник
авторефераты
форум химиков
подписка / опросы
проекты / о нас


контакты
поиск
   

главная > справочник > химическая энциклопедия:

ФИШЕРА РЕАКЦИЯ


выберите первую букву в названии статьи: А Б В Г Д Е Ж З И К Л М Н О П Р С Т У Ф Х Ц Ч Ш Щ Э Ю Я

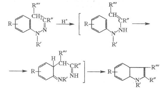
ФИШЕРА РЕАКЦИЯ, синтез индолов внутримол. конденсацией арилгидразонов в присутствии кислых агентов:


Ф. р. проводят, как правило, при нагр. раствора арилгидразона в присутствии протонной кислоты или кислоты Льюиса. Иногда ее осуществляют в присутствии оснований, солей переходных металлов или термически.

В реакцию вступают арилгидразоны разл. альдегидов (труднее всего уксусного) и кетонов; электроноакцепторные заместители в арильном ядре неск. затрудняют реакцию. Циклизация мета-замещенных фенилгидразонов приводит к смеси изомерных 4- и 6-замещенных индолов.

Считается общепринятым, что ключевой стадией процесса является кислотно-катализируемая перегруппировка енгидра-зинной формы арилгидразона по схеме 3,3-сигматропного сдвига (т. наз. 3,4-диазаперегруппировка Коупа; см. также Коупа перегруппировка)с последующей ароматизацией 6-членного и замыканием пиррольного циклов.

Частные примеры Ф. р.- синтез триптаминов и гомотриптаминов:


Близкие аналоги Ф. р.- реакция Бухерера - получение бензо-карбазолов при нагр. нафтолов и арилгидразинов с NaHSO3, а также синтез гидроксииндолов по Брукнеру (циклизацией N-ацил-N'-арилгидразинов) и a-аминоиндолов по Косту из N-ацил-N'-арилгидразинов (см. также Коста-Сагитуллина перегруппировка, Бухерера реакции}.

Р-ция открыта Э. Фишером в 1883.

Кроме этой реакции Фишером было открыто еще неск. реакций, также носящих его имя: 1) получение арилгидразинов восстановлением солей арилдиазония сульфитами щелочных металлов (1875); 2) образование озазонов при нагр. моносахаридов с избытком арилгидразина (1884); 3) получение О-алкилгли-козидов при нагр. моносахаридов со спиртами в кислой среде (1893); 4) получение сложных эфиров при взаимод. карбоно-вых кислот со спиртами в присутствии минер. кислот (совместно с А. Шпайером; 1895); 5) синтез ацеталей при взаимод. альдегидов со спиртами в присутствии HCl (1897); 6) синтез 2-дезокси-сахаров из моносахаридов (1914); 7) получение мочевой кислоты из псевдомочевой циклодегидратацией под действием кислот (1895); 8) синтез 2,5-диарилоксазолов кислотной конденсацией ароматич. альдегидов с нитрилами a-гидроксикислот (1896); 9) получение дипептидов гидролитич. расщеплением 2,5-дикетопиперазинов (1901); 10) синтез пептидов взаимод. хлорангидридов галогенкарбоновых кислот с аминокислотами или их эфирами с послед. гидролизом и аммонолизом.

Лит.: Вацуро К.В., Мищенко Г.Л., Именные реакции в органической химии, M., 1976, с. 416-22; Пр жевал ьский Н.М. [и др.], Химия гетеро-циклич. соединений, 1988, № 7, с. 867-80. В.Н. Дрозд.



выберите первую букву в названии статьи: А Б В Г Д Е Ж З И К Л М Н О П Р С Т У Ф Х Ц Ч Ш Щ Э Ю Я


Все новости



Новости компаний

Все новости


© ChemPort.Ru, MMII-MMXXIV
Контактная информация